Спиннерет растягивается в зоне мокрой формирования
1. Символы растянутого состояния прямой линии в зоне формирования
(1) Скорость растяжения Spinneret:
a (%) = (v l -v O )/V O *100
(2) Коэффициент растяжения Spinneret: i a = V L /V O =
A /100+1
(3) Средний градиент осевой скорости: (
x ) a = (v l -v o )/x e
В вышеупомянутой формуле: V O - скорость экструзии спиннического раствора; V L - это скорость обмотки вновь сформированного волокна на первом направляющем ролике; X e - длина затвердевания, то есть расстояние между точкой затвердевания и поверхностью спиннерета.
2. Персонажи реального растянутого состояния вращающейся линии в зоне формирования
Можно видеть, что расчеты вышеупомянутых формул принимают V O в качестве эталона. Для негативного растяжения, нулевого растяжения или небольшого положительного процесса растяжения, используемого при влажном вращении, нельзя охарактеризовать реальное состояние растяжения нитей. Следовательно, характеристика растянутого состояния спиннерета не должна основываться на V O , но должна основываться на V F.


(1) Реальная скорость растяжения Spinneret:
f (%) = (v l -v f )/v f *100
(2) Реальное соотношение растяжения Spinneret: i a = v l /v f =
f /100+1
(3) Реальный средний градиент осевой скорости: (
x ) f = (v l -v f )/x e
V F может быть измерен непосредственно с длины свободного тонкого потока на единицу времени или может быть получено из экстраполированного значения, когда напряжение растяжения на прядильной линии составляет нулю. Кроме того, было предложено косвенно рассчитывать по диаметру DM свободно потокового потока. Но при этом необходимо учитывать влияние процесса массопереноса.
В соответствии с уравнением непрерывности, когда нет массового переноса, масса вращающегося резьбы проходит через каждую точку спиннического процесса за единицу времени, то есть: то есть:
πr 2(x) v (x) p (x) = πr 02v 0p0
πr 2(x) v (x) p (x) = k
В формуле P является плотностью вращающейся нити в процессе прядения.
Для свободного тонкого потока: r 02v 0p 0 = r f 2v f f p f
Когда плотность прядильного потока не сильно меняется вдоль процесса прядения, она может быть упрощена как: r 02v 0 = r f 2v f
В это время коэффициент набухания свободного тонкого потока имеет следующую связь: b 0= r f /r 0= (p 0v 0/p f v f ) 1/2 = (V 0/v f ) 1/2
То есть в случае незначительного массопереноса и изменений плотности V F может быть получен из диаметра свободно потокового тонкого потока, то есть: v f = V 0/b 02 = V 0(r 0/r f )2
В случае общего влажного вращения с процессом массопереноса вышеуказанная формула больше не является действительной.


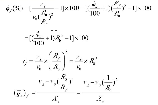
Когда кажущаяся скорость растяжения Spinneret φ A постоянна, если отношение R F /R 0 отличается, реальная скорость растяжения Spinneret также отличается. Значения φ f и φ часто различаются не только по величине, но и по символу.
Влияние B 0 на растяжение опухшего тонкого потока


Видно, что коэффициент растяжения Spinneret, по -видимому, отрицательно. Если это связано с большим отеком тонкого потока, то скорости удлинения, которые разбирается тонким потоком, на самом деле является положительным.