Пластмассы- Определение свойств воздействия Чарпи
Часть 1:
Неструментированный тест воздействия
1 сфера
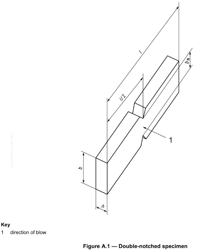
1.1 Эта часть ISO 179 определяет метид для определения силы воздействия пластмасс в характере в определенных условиях. Определены мгновенные различные типы образцов и тестовых конфигураций. Различные параметры тестирования указываются в соответствии с типом материала, типом образец испытаний и типом выемки.
1.2 Метод может использоваться для изучения поведения YJE указанных типов образца в определенных условиях воздействия и для оценки хрупкости или жесткости спектаклей в пределах ограничений, присущих условиям испытаний. Его также можно использовать для определения сравнительных данных из аналогичных типов материала.
1.3 Метод обладает большим диапазоном применимости, который приведен в ISO180 [1] и более подходит для тестирования материала, показывающего взаимосвязанный прозрачный перелом или материал, проявляющий поверхностные эффекты из -за факторов окружающей среды.
1.4 Метод подходит для использования со следующим диапазоном материала:
-Спешные термопластичные литья и экструзионные материалы (включая заполненные и армированные соединения в дополнение к незаполненным типам) и листы Tigid Thermoplastics;
-Графы терморетентирующей формованной материалы (включая заполненные и усиленные соединения) и жесткие листы Thrtmosetting (включая ламинаты)
--fiber-reinfoced thermosetting and thermoplastic composites incorporating unidirectional or milti-directional reinforcements(such as mars, woven fabrics, woven roving, chopped strands, cimbination and hybrid reinfocements, roving and milled fibers) or incorporating sheets made friom pre-mpregnated material( Prepregs), включая заполненные и усиленные соединения;
-Термотропные жидкокристаллические полимеры.
1.5 Надрезанные образцы обычно не подходят для нас с жесткими клеточными материалами, укрепленными с линоводом, или термотропными жидкокристаллическими полимерами. В этих случаях. Неочищенный может быть использован.
1.6 Метод подходит для использования образцов, отлитых для выбранных размеров, обработанных из центральной части стандартного многоцелевого испытательного образца (см. ISO3176) или обработанные из готовых или полуфиновенных продуктов, таких как Moudingd, LaminatesD и экстрадированный или лист.
1.7 Метод указывает предпочтительные измерения для испытательного образца. Тест, который проводится на образцах различных диментов или с разными выемками, или образцы, которые подготовлены в разных условиях, может дать результаты, которые не являются CPMParable. Другие факторы, такие как энергетическая способность аппарата, скорость удара и кондиционирование спексиментов, также могут влиять на результаты. Впоследствии, когда требуются сравнительные данные, эти факторы должны быть тщательно контролироваться и регистрировать.
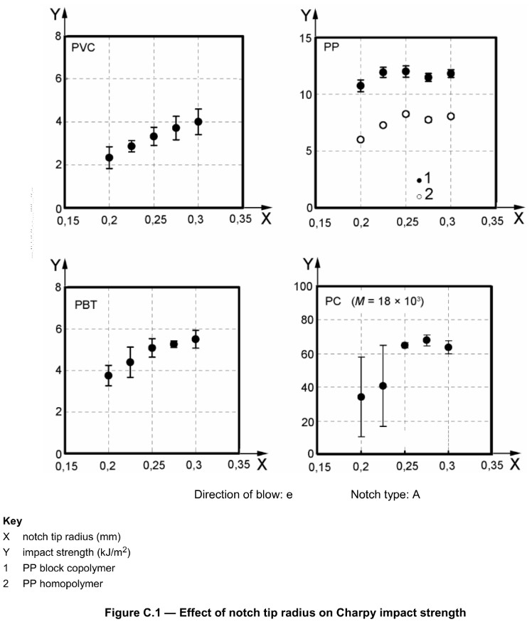
1.8 Метод не должен использоваться в качестве источника данных для расчетов проектирования. Однако информация о типичном поведении материала может быть получена. тестируя при разных температурах,
изменяя радиус выемка и/или толщину образца и путем тестирования образцов, полученных в разных условиях.
2 нормативные ссылки
Следующие справочные документы необходимы для применения этого документа. Для ссылок на дата применяется только указанное издание. Для ссылок UNDATAD применяется последнее издание указанного документа (включая любые поправки).

3 термины и определения
Для целей настоящего документа применяются следующие термины и определения.































Согласно стандарту ISO 179, мы хотели бы порекомендовать вам нашу AT421D -модель Digital Charpy Impact Tester . Для получения более подробной информации, пожалуйста, свяжитесь с нами, не колеблясь.